V encyklopedii Allmultimedia.cz byl aktivován špičkový grafický skin Foreground.
Foreground plně podporuje – RWD, HTML 5.0, Super Galerii a YouTube 2.0 !

Soubor:Feedback positive.png

Z Multimediaexpo.cz

Obrázek + Description:

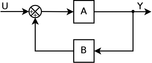
  • Čeština: Kladná zpětná vazba
  • Date: 22 June 2007 (original upload date)
  • Author: Jiří Cigler at cs.wikipedia
+ pochází z Wikimedia Commons, kde má status – Permission is granted to copy, distribute and/or modify this document under the terms of the GNU Free Documentation License, Version 1.2 or any later version published by the Free Software Foundation; with no Invariant Sections, no Front-Cover Texts, and no Back-Cover Texts.

Historie souboru

Kliknutím na datum a čas se zobrazí tehdejší verze souboru.

Datum a časNáhledRozměryUživatelKomentář
současná1. 4. 2013, 14:25Náhled verze z 1. 4. 2013, 14:25600×252 (8 kB)Sysop (diskuse | příspěvky) (BUNDESA107)

Na soubor odkazuje tato stránka: